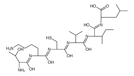
(2S)-2-[[(2S,3S)-2-[[(2S)-2-[[(2R)-2-[[(2S)-6-amino-2-[[(2S,3R)-2-amino-3-hydroxybutanoyl]amino]hexanoyl]amino]-3-sulfanylpropanoyl]amino]-3-methylbutanoyl]amino]-3-methylpentanoyl]amino]-4-methylpentanoic acid

Modify Date: 2024-07-18 18:46:54

(2S)-2-[[(2S,3S)-2-[[(2S)-2-[[(2R)-2-[[(2S)-6-amino-2-[[(2S,3R)-2-amino-3-hydroxybutanoyl]amino]hexanoyl]amino]-3-sulfanylpropanoyl]amino]-3-methylbutanoyl]amino]-3-methylpentanoyl]amino]-4-methylpentanoic acid Structure
(2S)-2-[[(2S,3S)-2-[[(2S)-2-[[(2R)-2-[[(2S)-6-amino-2-[[(2S,3R)-2-amino-3-hydroxybutanoyl]amino]hexanoyl]amino]-3-sulfanylpropanoyl]amino]-3-methylbutanoyl]amino]-3-methylpentanoyl]amino]-4-methylpentanoic acid structure
Common Name (2S)-2-[[(2S,3S)-2-[[(2S)-2-[[(2R)-2-[[(2S)-6-amino-2-[[(2S,3R)-2-amino-3-hydroxybutanoyl]amino]hexanoyl]amino]-3-sulfanylpropanoyl]amino]-3-methylbutanoyl]amino]-3-methylpentanoyl]amino]-4-methylpentanoic acid
CAS Number 796865-64-0 Molecular Weight 675.88100
Density N/A Boiling Point N/A
Molecular Formula C30H57N7O8S Melting Point N/A
MSDS N/A Flash Point N/A

 Names

Name (2S)-2-[[(2S,3S)-2-[[(2S)-2-[[(2R)-2-[[(2S)-6-amino-2-[[(2S,3R)-2-amino-3-hydroxybutanoyl]amino]hexanoyl]amino]-3-sulfanylpropanoyl]amino]-3-methylbutanoyl]amino]-3-methylpentanoyl]amino]-4-methylpentanoic acid
Synonym More Synonyms

 Chemical & Physical Properties

Molecular Formula C30H57N7O8S
Molecular Weight 675.88100
Exact Mass 675.39900
PSA 311.32000
LogP 4.61220
InChIKey XSIMPRWMBNSYON-XBUBOJNLSA-N
SMILES CCC(C)C(NC(=O)C(NC(=O)C(CS)NC(=O)C(CCCCN)NC(=O)C(N)C(C)O)C(C)C)C(=O)NC(CC(C)C)C(=O)O

 Synonyms

L-Leucine,L-threonyl-L-lysyl-L-cysteinyl-L-valyl-L-isoleucyl
The content on this webpage is sourced from various professional data sources. If you have any questions or concerns regarding the content, please feel free to contact service1@chemsrc.com.