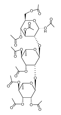
(3R,4S,5R,6R)-6-(acetoxymethyl)-3-(((2S,3R,4R,5S,6S)-4,5-diacetoxy-6-methyl-3-(((2S,3R,4R,5S,6S)-3,4,5-triacetoxy-6-methyltetrahydro-2H-pyran-2-yl)oxy)tetrahydro-2H-pyran-2-yl)oxy)tetrahydro-2H-pyran-2,4,5-triyl triacetate

Modify Date: 2025-08-25 18:38:25

(3R,4S,5R,6R)-6-(acetoxymethyl)-3-(((2S,3R,4R,5S,6S)-4,5-diacetoxy-6-methyl-3-(((2S,3R,4R,5S,6S)-3,4,5-triacetoxy-6-methyltetrahydro-2H-pyran-2-yl)oxy)tetrahydro-2H-pyran-2-yl)oxy)tetrahydro-2H-pyran-2,4,5-triyl triacetate Structure
(3R,4S,5R,6R)-6-(acetoxymethyl)-3-(((2S,3R,4R,5S,6S)-4,5-diacetoxy-6-methyl-3-(((2S,3R,4R,5S,6S)-3,4,5-triacetoxy-6-methyltetrahydro-2H-pyran-2-yl)oxy)tetrahydro-2H-pyran-2-yl)oxy)tetrahydro-2H-pyran-2,4,5-triyl triacetate structure
Common Name (3R,4S,5R,6R)-6-(acetoxymethyl)-3-(((2S,3R,4R,5S,6S)-4,5-diacetoxy-6-methyl-3-(((2S,3R,4R,5S,6S)-3,4,5-triacetoxy-6-methyltetrahydro-2H-pyran-2-yl)oxy)tetrahydro-2H-pyran-2-yl)oxy)tetrahydro-2H-pyran-2,4,5-triyl triacetate
CAS Number 77399-23-6 Molecular Weight 850.76800
Density N/A Boiling Point N/A
Molecular Formula C36H50O23 Melting Point N/A
MSDS N/A Flash Point N/A

 Names

Name (3R,4S,5R,6R)-6-(acetoxymethyl)-3-(((2S,3R,4R,5S,6S)-4,5-diacetoxy-6-methyl-3-(((2S,3R,4R,5S,6S)-3,4,5-triacetoxy-6-methyltetrahydro-2H-pyran-2-yl)oxy)tetrahydro-2H-pyran-2-yl)oxy)tetrahydro-2H-pyran-2,4,5-triyl triacetate

 Chemical & Physical Properties

Molecular Formula C36H50O23
Molecular Weight 850.76800
Exact Mass 850.27400
PSA 282.85000
The content on this webpage is sourced from various professional data sources. If you have any questions or concerns regarding the content, please feel free to contact service1@chemsrc.com.