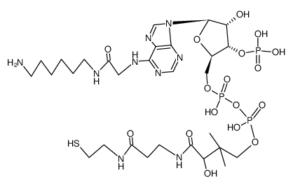
N6-[(6-amino-hexylcarbamoyl)-methyl]-coenzyme-A

Modify Date: 2025-09-13 16:16:59

N6-[(6-amino-hexylcarbamoyl)-methyl]-coenzyme-A Structure
N6-[(6-amino-hexylcarbamoyl)-methyl]-coenzyme-A structure
Common Name N6-[(6-amino-hexylcarbamoyl)-methyl]-coenzyme-A
CAS Number 71974-85-1 Molecular Weight 923.76000
Density N/A Boiling Point N/A
Molecular Formula C29H52N9O17P3S Melting Point N/A
MSDS N/A Flash Point N/A

 Names

Name N6-[(6-amino-hexylcarbamoyl)-methyl]-coenzyme-A
Synonym More Synonyms

 Chemical & Physical Properties

Molecular Formula C29H52N9O17P3S
Molecular Weight 923.76000
Exact Mass 923.24100
PSA 455.92000
LogP 0.74570

 Synonyms

N6-<N-(6-Aminohexyl)-carbamoylmethyl>-CoA
The content on this webpage is sourced from various professional data sources. If you have any questions or concerns regarding the content, please feel free to contact service1@chemsrc.com.
Top Suppliers:I want be here
Related Compounds: More...