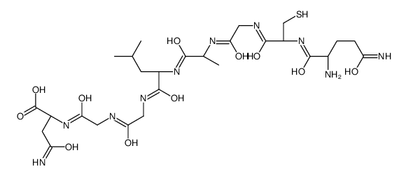
(2S)-4-amino-2-[[2-[[2-[[(2S)-2-[[(2S)-2-[[2-[[(2R)-2-[[(2S)-2,5-diamino-5-oxopentanoyl]amino]-3-sulfanylpropanoyl]amino]acetyl]amino]propanoyl]amino]-4-methylpentanoyl]amino]acetyl]amino]acetyl]amino]-4-oxobutanoic acid

Modify Date: 2025-09-26 11:49:21

(2S)-4-amino-2-[[2-[[2-[[(2S)-2-[[(2S)-2-[[2-[[(2R)-2-[[(2S)-2,5-diamino-5-oxopentanoyl]amino]-3-sulfanylpropanoyl]amino]acetyl]amino]propanoyl]amino]-4-methylpentanoyl]amino]acetyl]amino]acetyl]amino]-4-oxobutanoic acid Structure
(2S)-4-amino-2-[[2-[[2-[[(2S)-2-[[(2S)-2-[[2-[[(2R)-2-[[(2S)-2,5-diamino-5-oxopentanoyl]amino]-3-sulfanylpropanoyl]amino]acetyl]amino]propanoyl]amino]-4-methylpentanoyl]amino]acetyl]amino]acetyl]amino]-4-oxobutanoic acid structure
Common Name (2S)-4-amino-2-[[2-[[2-[[(2S)-2-[[(2S)-2-[[2-[[(2R)-2-[[(2S)-2,5-diamino-5-oxopentanoyl]amino]-3-sulfanylpropanoyl]amino]acetyl]amino]propanoyl]amino]-4-methylpentanoyl]amino]acetyl]amino]acetyl]amino]-4-oxobutanoic acid
CAS Number 652143-25-4 Molecular Weight 718.78000
Density N/A Boiling Point N/A
Molecular Formula C27H46N10O11S Melting Point N/A
MSDS N/A Flash Point N/A

 Names

Name (2S)-4-amino-2-[[2-[[2-[[(2S)-2-[[(2S)-2-[[2-[[(2R)-2-[[(2S)-2,5-diamino-5-oxopentanoyl]amino]-3-sulfanylpropanoyl]amino]acetyl]amino]propanoyl]amino]-4-methylpentanoyl]amino]acetyl]amino]acetyl]amino]-4-oxobutanoic acid
Synonym More Synonyms

 Chemical & Physical Properties

Molecular Formula C27H46N10O11S
Molecular Weight 718.78000
Exact Mass 718.30700
PSA 418.41000
LogP 2.70460

 Synonyms

L-Asparagine,L-glutaminyl-L-cysteinylglycyl-L-alanyl-L-leucylglycylglycyl
The content on this webpage is sourced from various professional data sources. If you have any questions or concerns regarding the content, please feel free to contact service1@chemsrc.com.