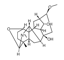
1α,19β-epoxy-20-ethyl-16β-methoxy-4-methyl-aconitane-8,14α-diol

Modify Date: 2025-11-25 13:09:56

1α,19β-epoxy-20-ethyl-16β-methoxy-4-methyl-aconitane-8,14α-diol Structure
1α,19β-epoxy-20-ethyl-16β-methoxy-4-methyl-aconitane-8,14α-diol structure
Common Name 1α,19β-epoxy-20-ethyl-16β-methoxy-4-methyl-aconitane-8,14α-diol
CAS Number 50656-90-1 Molecular Weight 375.50200
Density N/A Boiling Point N/A
Molecular Formula C22H33NO4 Melting Point N/A
MSDS N/A Flash Point N/A

 Names

Name 1α,19β-epoxy-20-ethyl-16β-methoxy-4-methyl-aconitane-8,14α-diol
Synonym More Synonyms

 Chemical & Physical Properties

Molecular Formula C22H33NO4
Molecular Weight 375.50200
Exact Mass 375.24100
PSA 62.16000
LogP 1.55250

 Synonyms

anhydroepoxykaracoline
Anhydro-hydroxy-karakolin
anhydrohydroxykaracoline
The content on this webpage is sourced from various professional data sources. If you have any questions or concerns regarding the content, please feel free to contact service1@chemsrc.com.