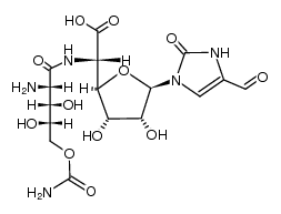
5-[(2-Amino-5-O-carbamoyl-2-deoxy-L-xylonoyl)amino]-1,5-dideoxy-1-(4-formyl-2,3-dihydro-2-oxo-1H-imidazol-1-yl)-β-D-allofuranuronic acid

Modify Date: 2024-09-13 18:08:42

5-[(2-Amino-5-O-carbamoyl-2-deoxy-L-xylonoyl)amino]-1,5-dideoxy-1-(4-formyl-2,3-dihydro-2-oxo-1H-imidazol-1-yl)-β-D-allofuranuronic acid Structure
5-[(2-Amino-5-O-carbamoyl-2-deoxy-L-xylonoyl)amino]-1,5-dideoxy-1-(4-formyl-2,3-dihydro-2-oxo-1H-imidazol-1-yl)-β-D-allofuranuronic acid structure
Common Name 5-[(2-Amino-5-O-carbamoyl-2-deoxy-L-xylonoyl)amino]-1,5-dideoxy-1-(4-formyl-2,3-dihydro-2-oxo-1H-imidazol-1-yl)-β-D-allofuranuronic acid
CAS Number 37362-29-1 Molecular Weight 477.38000
Density N/A Boiling Point N/A
Molecular Formula C16H23N5O12 Melting Point N/A
MSDS N/A Flash Point N/A

 Names

Name polyoxin N

 Chemical & Physical Properties

Molecular Formula C16H23N5O12
Molecular Weight 477.38000
Exact Mass 477.13400
PSA 289.75000
The content on this webpage is sourced from various professional data sources. If you have any questions or concerns regarding the content, please feel free to contact service1@chemsrc.com.