Salacinol

Modify Date: 2025-08-25 11:18:52

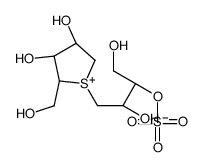
Salacinol Structure
Salacinol structure
Common Name Salacinol
CAS Number 200399-47-9 Molecular Weight 334.36400
Density N/A Boiling Point N/A
Molecular Formula C9H18O9S2 Melting Point N/A
MSDS N/A Flash Point N/A

 Names

Name [(2S,3S)-4-[(2R,3S,4S)-3,4-dihydroxy-2-(hydroxymethyl)thiolan-1-ium-1-yl]-1,3-dihydroxybutan-2-yl] sulfate
Synonym More Synonyms

 Chemical & Physical Properties

Molecular Formula C9H18O9S2
Molecular Weight 334.36400
Exact Mass 334.03900
PSA 218.98000

 Synonyms

salacinol
The content on this webpage is sourced from various professional data sources. If you have any questions or concerns regarding the content, please feel free to contact service1@chemsrc.com.