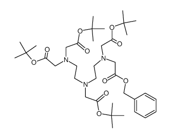
3-Benzyloxycarbonylmethyl-6,9-bis(t-butoxycarbonylmethyl)-3,6,9-triazaundecanedicarboxylic acid-di-t-butyl ester

Modify Date: 2025-08-26 20:15:11

3-Benzyloxycarbonylmethyl-6,9-bis(t-butoxycarbonylmethyl)-3,6,9-triazaundecanedicarboxylic acid-di-t-butyl ester Structure
3-Benzyloxycarbonylmethyl-6,9-bis(t-butoxycarbonylmethyl)-3,6,9-triazaundecanedicarboxylic acid-di-t-butyl ester structure
Common Name 3-Benzyloxycarbonylmethyl-6,9-bis(t-butoxycarbonylmethyl)-3,6,9-triazaundecanedicarboxylic acid-di-t-butyl ester
CAS Number 180152-87-8 Molecular Weight 707.89400
Density N/A Boiling Point N/A
Molecular Formula C37H61N3O10 Melting Point N/A
MSDS N/A Flash Point N/A

 Names

Name 3-Benzyloxycarbonylmethyl-6,9-bis(t-butoxycarbonylmethyl)-3,6,9-triazaundecanedicarboxylic acid-di-t-butyl ester
Synonym More Synonyms

 Chemical & Physical Properties

Molecular Formula C37H61N3O10
Molecular Weight 707.89400
Exact Mass 707.43600
PSA 141.22000
LogP 4.00260

 Synonyms

{[2-(Benzyloxycarbonylmethyl-tert-butoxycarbonylmethyl-amino)-ethyl]-[2-(bis-tert-butoxycarbonylmethyl-amino)-ethyl]-amino}-acetic acid tert-butyl ester
The content on this webpage is sourced from various professional data sources. If you have any questions or concerns regarding the content, please feel free to contact service1@chemsrc.com.