salireposide

Modify Date: 2025-01-15 10:07:31

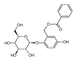
salireposide Structure
salireposide structure
Common Name salireposide
CAS Number 16955-55-8 Molecular Weight 406.38300
Density N/A Boiling Point N/A
Molecular Formula C20H22O9 Melting Point N/A
MSDS N/A Flash Point N/A

 Names

Name Salireposid
Synonym More Synonyms

 Chemical & Physical Properties

Molecular Formula C20H22O9
Molecular Weight 406.38300
Exact Mass 406.12600
PSA 145.91000
InChIKey UQCOPGRRWQCCFR-BFMVXSJESA-N
SMILES O=C(OCc1cc(O)ccc1OC1OC(CO)C(O)C(O)C1O)c1ccccc1

 Synonyms

Benzoic acid 5-hydroxy-2-((2R,3S,4R,5R,6S)-3,4,5-trihydroxy-6-hydroxymethyl-tetrahydro-pyran-2-yloxy)-benzyl ester
The content on this webpage is sourced from various professional data sources. If you have any questions or concerns regarding the content, please feel free to contact service1@chemsrc.com.