2-[[(2S,3R)-2-[[(2S)-2-[[(2S)-2-[[(2S)-2-[[(2S)-5-(diaminomethylideneamino)-2-[[(2S)-2,4-diamino-4-oxobutanoyl]amino]pentanoyl]amino]-4-methylpentanoyl]amino]-4-methylpentanoyl]amino]-4-methylpentanoyl]amino]-3-hydroxybutanoyl]amino]acetic acid

Modify Date: 2025-08-20 17:57:03

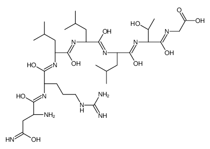
2-[[(2S,3R)-2-[[(2S)-2-[[(2S)-2-[[(2S)-2-[[(2S)-5-(diaminomethylideneamino)-2-[[(2S)-2,4-diamino-4-oxobutanoyl]amino]pentanoyl]amino]-4-methylpentanoyl]amino]-4-methylpentanoyl]amino]-4-methylpentanoyl]amino]-3-hydroxybutanoyl]amino]acetic acid Structure
2-[[(2S,3R)-2-[[(2S)-2-[[(2S)-2-[[(2S)-2-[[(2S)-5-(diaminomethylideneamino)-2-[[(2S)-2,4-diamino-4-oxobutanoyl]amino]pentanoyl]amino]-4-methylpentanoyl]amino]-4-methylpentanoyl]amino]-4-methylpentanoyl]amino]-3-hydroxybutanoyl]amino]acetic acid structure
Common Name 2-[[(2S,3R)-2-[[(2S)-2-[[(2S)-2-[[(2S)-2-[[(2S)-5-(diaminomethylideneamino)-2-[[(2S)-2,4-diamino-4-oxobutanoyl]amino]pentanoyl]amino]-4-methylpentanoyl]amino]-4-methylpentanoyl]amino]-4-methylpentanoyl]amino]-3-hydroxybutanoyl]amino]acetic acid
CAS Number 156343-40-7 Molecular Weight 785.93200
Density N/A Boiling Point N/A
Molecular Formula C34H63N11O10 Melting Point N/A
MSDS N/A Flash Point N/A

 Names

Name 2-[[(2S,3R)-2-[[(2S)-2-[[(2S)-2-[[(2S)-2-[[(2S)-5-(diaminomethylideneamino)-2-[[(2S)-2,4-diamino-4-oxobutanoyl]amino]pentanoyl]amino]-4-methylpentanoyl]amino]-4-methylpentanoyl]amino]-4-methylpentanoyl]amino]-3-hydroxybutanoyl]amino]acetic acid
Synonym More Synonyms

 Chemical & Physical Properties

Molecular Formula C34H63N11O10
Molecular Weight 785.93200
Exact Mass 785.47600
PSA 385.07000
LogP 4.67900

 Synonyms

1q5l
Glycine,L-asparaginyl-L-arginyl-L-leucyl-L-leucyl-L-leucyl-L-threonyl
The content on this webpage is sourced from various professional data sources. If you have any questions or concerns regarding the content, please feel free to contact service1@chemsrc.com.