arganine B

Modify Date: 2025-12-02 20:50:30

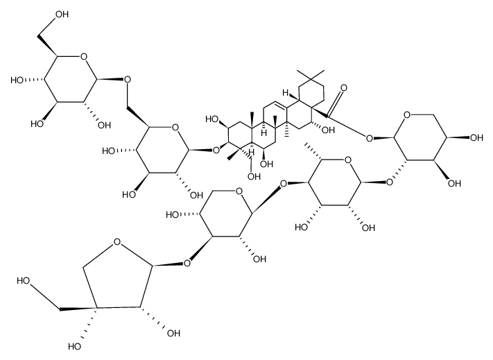
arganine B Structure
arganine B structure
Common Name arganine B
CAS Number 144425-21-8 Molecular Weight 1387.46000
Density N/A Boiling Point N/A
Molecular Formula C63H102O33 Melting Point N/A
MSDS N/A Flash Point N/A

 Names

Name arganine B

 Chemical & Physical Properties

Molecular Formula C63H102O33
Molecular Weight 1387.46000
Exact Mass 1386.63000
PSA 532.43000
InChIKey LZPISZISNKRDJE-UHFFFAOYSA-N
SMILES CC1OC(OC2C(OC(=O)C34CCC(C)(C)CC3C3=CCC5C6(C)CC(O)C(OC7OC(COC8OC(CO)C(O)C(O)C8O)C(O)C(O)C7O)C(C)(CO)C6C(O)CC5(C)C3(C)CC4O)OCC(O)C2O)C(O)C(O)C1OC1OCC(O)C(OC2OCC(O)(CO)C2O)C1O
The content on this webpage is sourced from various professional data sources. If you have any questions or concerns regarding the content, please feel free to contact service1@chemsrc.com.