bromo-triphenylphosphoranylidene-cobalt, oxoazanide

Modify Date: 2024-02-12 18:51:12

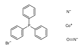
bromo-triphenylphosphoranylidene-cobalt, oxoazanide Structure
bromo-triphenylphosphoranylidene-cobalt, oxoazanide structure
Common Name bromo-triphenylphosphoranylidene-cobalt, oxoazanide
CAS Number 14318-88-8 Molecular Weight 461.13500
Density N/A Boiling Point N/A
Molecular Formula C18H15BrCoN2O2P Melting Point N/A
MSDS N/A Flash Point N/A

 Names

Name bromo-(triphenyl-λ5-phosphanylidene)cobalt,nitroxyl anion
Synonym More Synonyms

 Chemical & Physical Properties

Molecular Formula C18H15BrCoN2O2P
Molecular Weight 461.13500
Exact Mass 459.93900
PSA 47.73000
LogP 1.09320
InChIKey VHFVJRPZSIGZIB-UHFFFAOYSA-M
SMILES Br[Co]=P(c1ccccc1)(c1ccccc1)c1ccccc1.[N-]=O.[N-]=O

 Synonyms

Triphenylphosphinecobalt dinitrosyl bromide
The content on this webpage is sourced from various professional data sources. If you have any questions or concerns regarding the content, please feel free to contact service1@chemsrc.com.