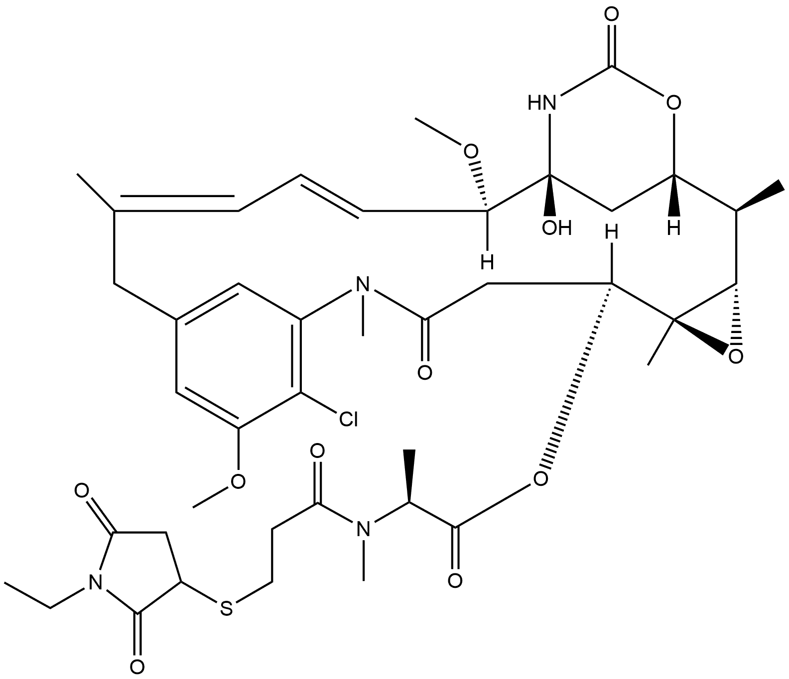
Maytansine, N2'-deacetyl-N2'-[3-[(1-ethyl-2,5-dioxo-3-pyrrolidinyl)thio]-1-oxopropyl]-

Modify Date: 2024-05-01 20:52:48

Maytansine, N2'-deacetyl-N2'-[3-[(1-ethyl-2,5-dioxo-3-pyrrolidinyl)thio]-1-oxopropyl]- Structure
Maytansine, N2'-deacetyl-N2'-[3-[(1-ethyl-2,5-dioxo-3-pyrrolidinyl)thio]-1-oxopropyl]- structure
Common Name Maytansine, N2'-deacetyl-N2'-[3-[(1-ethyl-2,5-dioxo-3-pyrrolidinyl)thio]-1-oxopropyl]-
CAS Number 1343477-01-9 Molecular Weight 863.42
Density 1.36±0.1 g/cm3(Predicted) Boiling Point 1042.6±65.0 °C(Predicted)
Molecular Formula C41H55ClN4O12S Melting Point N/A
MSDS N/A Flash Point N/A

 Names

Name Maytansine, N2'-deacetyl-N2'-[3-[(1-ethyl-2,5-dioxo-3-pyrrolidinyl)thio]-1-oxopropyl]-

 Chemical & Physical Properties

Density 1.36±0.1 g/cm3(Predicted)
Boiling Point 1042.6±65.0 °C(Predicted)
Molecular Formula C41H55ClN4O12S
Molecular Weight 863.42
InChIKey YTBXYRVRAOJNNM-ZCYGFPCKSA-N
SMILES CCN1C(=O)CC(SCCC(=O)N(C)C(C)C(=O)OC2CC(=O)N(C)c3cc(cc(OC)c3Cl)CC(C)=CC=CC(OC)C3(O)CC(OC(=O)N3)C(C)C3OC23C)C1=O
The content on this webpage is sourced from various professional data sources. If you have any questions or concerns regarding the content, please feel free to contact service1@chemsrc.com.