Desfuroyl Ceftiofur Dimer (>90%)

Modify Date: 2024-05-02 14:19:41

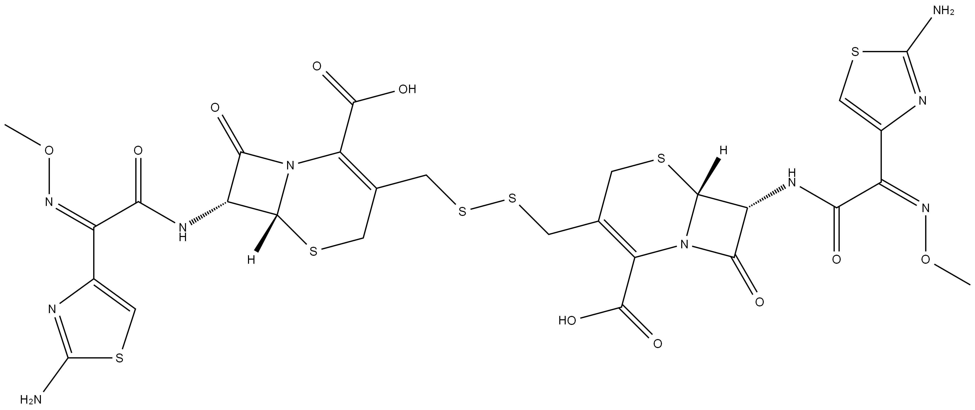
Desfuroyl Ceftiofur Dimer (>90%) Structure
Desfuroyl Ceftiofur Dimer (>90%) structure
Common Name Desfuroyl Ceftiofur Dimer (>90%)
CAS Number 120905-00-2 Molecular Weight 856.97
Density 1.99±0.1 g/cm3(Predicted) Boiling Point N/A
Molecular Formula C28H28N10O10S6 Melting Point >230°C (dec.)
MSDS N/A Flash Point N/A

 Names

Name Desfuroyl Ceftiofur Dimer (>90%)

 Chemical & Physical Properties

Density 1.99±0.1 g/cm3(Predicted)
Melting Point >230°C (dec.)
Molecular Formula C28H28N10O10S6
Molecular Weight 856.97
The content on this webpage is sourced from various professional data sources. If you have any questions or concerns regarding the content, please feel free to contact service1@chemsrc.com.