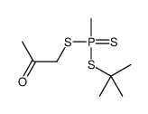
1-[tert-butylsulfanyl(methyl)phosphinothioyl]sulfanylpropan-2-one

Modify Date: 2024-09-25 09:04:35

1-[tert-butylsulfanyl(methyl)phosphinothioyl]sulfanylpropan-2-one Structure
1-[tert-butylsulfanyl(methyl)phosphinothioyl]sulfanylpropan-2-one structure
Common Name 1-[tert-butylsulfanyl(methyl)phosphinothioyl]sulfanylpropan-2-one
CAS Number 112005-85-3 Molecular Weight 256.38900
Density N/A Boiling Point N/A
Molecular Formula C8H17OPS3 Melting Point N/A
MSDS N/A Flash Point N/A

 Names

Name 1-[tert-butylsulfanyl(methyl)phosphinothioyl]sulfanylpropan-2-one
Synonym More Synonyms

 Chemical & Physical Properties

Molecular Formula C8H17OPS3
Molecular Weight 256.38900
Exact Mass 256.01800
PSA 109.57000
LogP 4.43020

 Synonyms

Phosphonotrithioic acid,methyl-,1,1-dimethylethyl 2-oxopropyl ester
The content on this webpage is sourced from various professional data sources. If you have any questions or concerns regarding the content, please feel free to contact service1@chemsrc.com.