58046-07-4

58046-07-4 structure
58046-07-4 structure
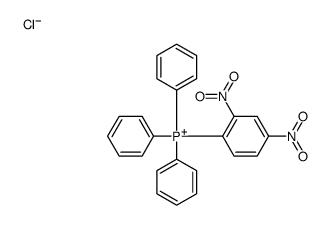
  • Name: (2,4-dinitrophenyl)-triphenylphosphanium,chloride
  • Chemical Name: (2,4-dinitrophenyl)-triphenylphosphanium,chloride
  • CAS Number: 58046-07-4
  • Molecular Formula: C24H18ClN2O4P
  • Molecular Weight: 464.83700
  • Create Date: 2016-01-26 06:00:08
  • Modify Date: 2025-09-25 07:40:01

Name (2,4-dinitrophenyl)-triphenylphosphanium,chloride
Molecular Formula C24H18ClN2O4P
Molecular Weight 464.83700
Exact Mass 464.06900
PSA 105.23000
LogP 2.17280
The content on this webpage is sourced from various professional data sources. If you have any questions or concerns regarding the content, please feel free to contact service1@chemsrc.com.