90108-27-3

90108-27-3 structure
90108-27-3 structure
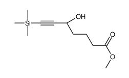
  • Name: methyl (5S)-5-hydroxy-7-trimethylsilylhept-6-ynoate
  • Chemical Name: methyl (5S)-5-hydroxy-7-trimethylsilylhept-6-ynoate
  • CAS Number: 90108-27-3
  • Molecular Formula: C11H20O3Si
  • Molecular Weight: 228.36000
  • Create Date: 2016-12-12 19:04:21
  • Modify Date: 2024-09-17 21:59:41

Name methyl (5S)-5-hydroxy-7-trimethylsilylhept-6-ynoate
Molecular Formula C11H20O3Si
Molecular Weight 228.36000
Exact Mass 228.11800
PSA 46.53000
LogP 1.57140
The content on this webpage is sourced from various professional data sources. If you have any questions or concerns regarding the content, please feel free to contact service1@chemsrc.com.