1346746-88-0

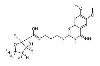
1346746-88-0 structure
1346746-88-0 structure

Name N-{3-[(4-Amino-6,7-dimethoxy-2-quinazolinyl)(methyl)amino]propyl}(2H7)tetrahydro-2-furancarboxamide
Molecular Formula C19H20D7N5O4
Molecular Weight 396.49200
Exact Mass 396.25000
PSA 116.05000
LogP 2.12110
The content on this webpage is sourced from various professional data sources. If you have any questions or concerns regarding the content, please feel free to contact service1@chemsrc.com.