693272-98-9

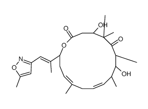
693272-98-9 structure
693272-98-9 structure

Name (4S,7R,8S,9S,10Z,13Z,16S)-4,8-dihydroxy-5,5,7,9,13-pentamethyl-16-[(E)-1-(5-methyl-1,2-oxazol-3-yl)prop-1-en-2-yl]-1-oxacyclohexadeca-10,13-diene-2,6-dione
Synonyms kosn-1724
Molecular Formula C27H39NO6
Molecular Weight 473.60200
Exact Mass 473.27800
PSA 109.86000
LogP 4.57380
The content on this webpage is sourced from various professional data sources. If you have any questions or concerns regarding the content, please feel free to contact service1@chemsrc.com.