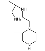
75949-76-7

75949-76-7 structure
75949-76-7 structure

Name (2S)-2-N-[2-[(2R)-2-methylpiperazin-1-yl]ethyl]propane-1,2-diamine
Synonyms 1,2-Propanediamine,N2-(2-(2-methyl-1-piperazinyl)ethyl)
1-(2-(1-Amino-2-propyl)aminoethyl)-2-methylpiperazine
Molecular Formula C10H24N4
Molecular Weight 200.32400
Exact Mass 200.20000
PSA 53.32000
LogP 0.57480
The content on this webpage is sourced from various professional data sources. If you have any questions or concerns regarding the content, please feel free to contact service1@chemsrc.com.