798540-60-0

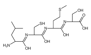
798540-60-0 structure
798540-60-0 structure

Name (2S)-2-[[(2S)-2-[[(2R)-2-[[(2S)-2-amino-4-methylpentanoyl]amino]-3-sulfanylpropanoyl]amino]-4-methylsulfanylbutanoyl]amino]-3-hydroxypropanoic acid
Synonyms L-Serine,L-leucyl-L-cysteinyl-L-methionyl
Molecular Formula C17H32N4O6S2
Molecular Weight 452.58900
Exact Mass 452.17600
PSA 245.42000
LogP 1.79520
The content on this webpage is sourced from various professional data sources. If you have any questions or concerns regarding the content, please feel free to contact service1@chemsrc.com.