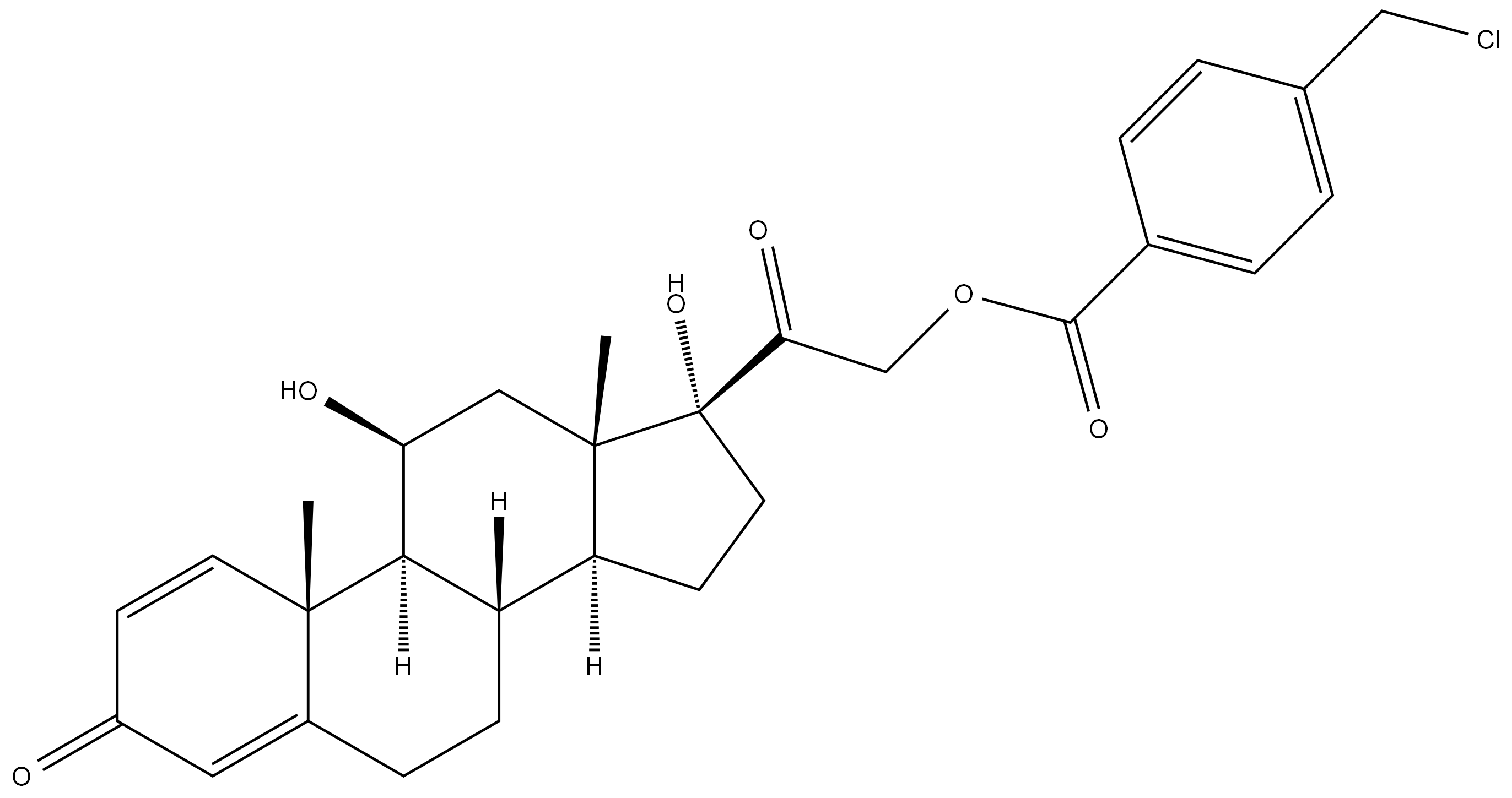
571186-61-3

571186-61-3 structure
571186-61-3 structure

Name 2-((8S,9S,10R,11S,13S,14S,17R)-11,17-dihydroxy-10,13-dimethyl-3-oxo-6,7,8,9,10,11,12,13,14,15,16,17-dodecahydro-3H-cyclopenta[a]phenanthren-17-yl)-2-oxoethyl 4-(chloromethyl)benzoate
Density 1.34±0.1 g/cm3(Predicted)
Boiling Point 708.6±60.0 °C(Predicted)
Molecular Formula C29H33ClO6
Molecular Weight 513.02172
The content on this webpage is sourced from various professional data sources. If you have any questions or concerns regarding the content, please feel free to contact service1@chemsrc.com.