85642-28-0

85642-28-0 structure
85642-28-0 structure

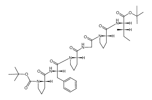
Name tert-butyl N-tert-butyloxycarbonyl-L-prolyl-L-phenylalanyl-L-prolylglycyl-L-prolyl-L-isoleucinate
Molecular Formula C41H62N6O9
Molecular Weight 782.96600
Exact Mass 782.45800
PSA 183.76000
LogP 4.07060
Precursor  0

DownStream  1

The content on this webpage is sourced from various professional data sources. If you have any questions or concerns regarding the content, please feel free to contact service1@chemsrc.com.