1001082-85-4

1001082-85-4 structure
1001082-85-4 structure

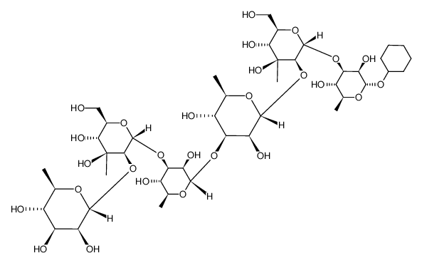
Name cyclohexyl (α-D-rhamnopyranosyl)-(1->2)-(3-C-methyl-α-D-manno-hexopyranosyl)-(1->3)-(α-L-rhamnopyranosyl)-(1->3)-(α-D-rhamnopyranosyl)-(1->2)-(3-C-methyl-α-D-manno-hexopyranosyl)-(1->3)-α-L-rhamnopyranoside
Molecular Formula C44H76O27
Molecular Weight 1037.06000
Exact Mass 1036.46000
PSA 414.21000
The content on this webpage is sourced from various professional data sources. If you have any questions or concerns regarding the content, please feel free to contact service1@chemsrc.com.