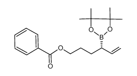
1000376-30-6

1000376-30-6 structure
1000376-30-6 structure

Name (S)-4,4,5,5-tetramethyl-2-[6-benzoyloxy-1-hexen-3-yl]-1,3,2-dioxaborolane
Molecular Formula C19H27BO4
Molecular Weight 330.22600
Exact Mass 330.20000
PSA 44.76000
LogP 4.27200
The content on this webpage is sourced from various professional data sources. If you have any questions or concerns regarding the content, please feel free to contact service1@chemsrc.com.