54450-67-8

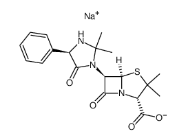
54450-67-8 structure
54450-67-8 structure

Name 6β-((R)-2,2-dimethyl-5-oxo-4-phenyl-imidazolidin-1-yl)-penicillanic acid, sodium salt
Synonyms Sodium
(2S,5R,6R)-6-((R)-2,2-dimethyl-5-oxo-4-phenyl-imidazolidin-1-yl)-3,3-dimethyl-7-oxo-4-thia-1-aza-bicyclo[3.2.0]heptane-2-carboxylate
phenazacillin, sodium salt
hetacillin, sodium salt
etacillin, sodium salt
Molecular Formula C19H22N3NaO4S
Molecular Weight 411.45000
Exact Mass 411.12300
PSA 118.08000
LogP 0.28100
The content on this webpage is sourced from various professional data sources. If you have any questions or concerns regarding the content, please feel free to contact service1@chemsrc.com.