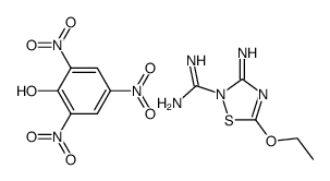
62096-62-2

62096-62-2 structure
62096-62-2 structure

Name 3-amino-2-carbamimidoyl-5-ethoxy-[1,2,4]thiadiazolium, picrate
Synonyms Picric acid
compound with 5-ethoxy-3-imino-3H-[1,2,4]thiadiazole-2-carboxamidine
Molecular Formula C11H12N8O8S
Molecular Weight 416.32700
Exact Mass 416.05000
PSA 286.70000
LogP 3.15050
The content on this webpage is sourced from various professional data sources. If you have any questions or concerns regarding the content, please feel free to contact service1@chemsrc.com.