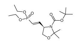
890301-81-2

890301-81-2 structure
890301-81-2 structure

Name tert-butyl 4-(2-(diethoxyphosphoryl)vinyl)-2,2-dimethyloxazolidine-3-carboxylate
Molecular Formula C16H30NO6P
Molecular Weight 363.38600
Exact Mass 363.18100
PSA 84.11000
LogP 4.07610
The content on this webpage is sourced from various professional data sources. If you have any questions or concerns regarding the content, please feel free to contact service1@chemsrc.com.