Top Suppliers:I want be here

29579-66-6

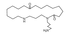
29579-66-6 structure
29579-66-6 structure
  • Name: 5-(4-Aminobutyl)-1,5-diazacyclohenicosane-6,14-dione
  • Chemical Name: 5-(4-amino-butyl)-1,5-diaza-cycloheneicosane-6,14-dione
  • CAS Number: 29579-66-6
  • Molecular Formula: C23H45N3O2
  • Molecular Weight: 395.62200
  • Create Date: 2018-03-01 01:23:17
  • Modify Date: 2025-09-21 16:43:31

Name 5-(4-amino-butyl)-1,5-diaza-cycloheneicosane-6,14-dione
Synonyms 5-(4-Amino-butyl)-1,5-diaza-cyclohenicosane-6,14-dione
Inandenin-B, 1-<4'-Amino-butyl>-13,21-dioxo-1,5-diazacycloheneikosan
Molecular Formula C23H45N3O2
Molecular Weight 395.62200
Exact Mass 395.35100
PSA 75.43000
LogP 5.15460
The content on this webpage is sourced from various professional data sources. If you have any questions or concerns regarding the content, please feel free to contact service1@chemsrc.com.