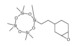
127441-56-9

127441-56-9 structure
127441-56-9 structure

Name 2,2,4,4,6,6,8-heptamethyl-8-[2-(7-oxabicyclo[4.1.0]heptan-4-yl)ethyl]-1,3,5,7,2,4,6,8-tetraoxatetrasilocane
Molecular Formula C15H34O5Si4
Molecular Weight 406.76900
Exact Mass 406.14800
PSA 49.45000
LogP 4.20140
The content on this webpage is sourced from various professional data sources. If you have any questions or concerns regarding the content, please feel free to contact service1@chemsrc.com.