Top Suppliers:I want be here


65907-78-0

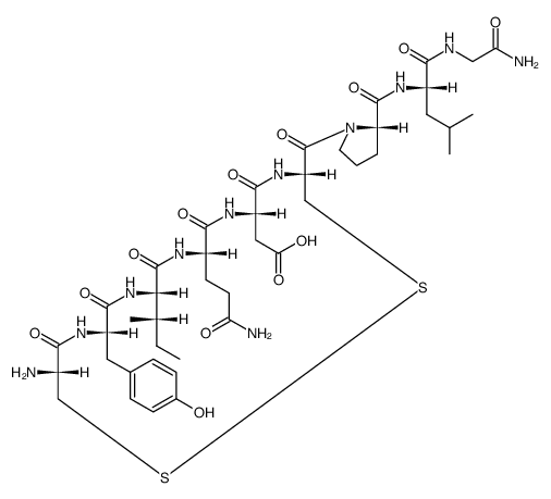
65907-78-0 structure
65907-78-0 structure
  • Name: oxytocin, Asp(5)-
  • Chemical Name: oxytocin
  • CAS Number: 65907-78-0
  • Molecular Formula: C43H65N11O13S2
  • Molecular Weight: 1008.17000
  • Catalog: Signaling Pathways GPCR/G Protein Oxytocin Receptor
  • Create Date: 2018-03-21 19:19:26
  • Modify Date: 2025-08-26 17:59:30
  • [Asp5]-Oxytocin is the first 5-position neurohypophyseal hormone analogue possessing significant biological activity[1].

Name oxytocin
Description [Asp5]-Oxytocin is the first 5-position neurohypophyseal hormone analogue possessing significant biological activity[1].
Related Catalog
In Vitro [Asp5]-Oxytocin retains not only a high affinity for the uterotonic receptor, but, more importantly, it exhibits an intrinsic activity identical with that of oxytocin under various experimental conditions[1].
References

[1]. Walter R, et al. [5-Aspartic acid]-oxytocin: first 5-position neurohypophyseal hormone analogue possessing significant biological activity. J Am Chem Soc. 1978;100(3):792-793.

Molecular Formula C43H65N11O13S2
Molecular Weight 1008.17000
Exact Mass 1007.42000
PSA 444.34000
LogP 1.45530
The content on this webpage is sourced from various professional data sources. If you have any questions or concerns regarding the content, please feel free to contact service1@chemsrc.com.