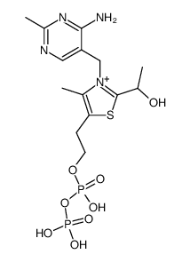
10055-47-7

10055-47-7 structure
10055-47-7 structure

Name 3-(4-amino-2-methyl-pyrimidin-5-ylmethyl)-2-(1-hydroxy-ethyl)-4-methyl-5-(2-trihydroxydiphosphoryloxy-ethyl)-thiazolium
Synonyms 2-(α-Hydroxyaethyl)-thiamin-diphosphat
Molecular Formula C14H23N4O8P2S+
Molecular Weight 469.36700
Exact Mass 469.07100
PSA 237.06000
LogP 1.47620
The content on this webpage is sourced from various professional data sources. If you have any questions or concerns regarding the content, please feel free to contact service1@chemsrc.com.