206126-42-3

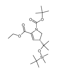
206126-42-3 structure
206126-42-3 structure

Name 1-(tert-butyl) 2-ethyl (R)-4-(2-((tert-butyldimethylsilyl)oxy)propan-2-yl)-4,5-dihydro-1H-pyrrole-1,2-dicarboxylate
Molecular Formula C21H39NO5Si
Molecular Weight 413.62400
Exact Mass 413.26000
PSA 65.07000
LogP 5.03860
The content on this webpage is sourced from various professional data sources. If you have any questions or concerns regarding the content, please feel free to contact service1@chemsrc.com.