129312-45-4

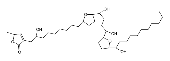
129312-45-4 structure
129312-45-4 structure

Name (2S)-4-[(2R)-9-[(5S)-5-[(4S)-1,4-dihydroxy-4-[(2R,5R)-5-[(1S)-1-hydroxyundecyl]oxolan-2-yl]butyl]oxolan-2-yl]-2-hydroxynonyl]-2-methyl-2H-furan-5-one
Synonyms bullatalicin
Density 1.076g/cm3
Boiling Point 776.4ºC at 760 mmHg
Molecular Formula C37H66O8
Molecular Weight 638.91500
Flash Point 230.6ºC
Exact Mass 638.47600
PSA 125.68000
LogP 6.82870
Vapour Pressure 7.74E-28mmHg at 25°C
Index of Refraction 1.511
The content on this webpage is sourced from various professional data sources. If you have any questions or concerns regarding the content, please feel free to contact service1@chemsrc.com.