27177-63-5

27177-63-5 structure
27177-63-5 structure

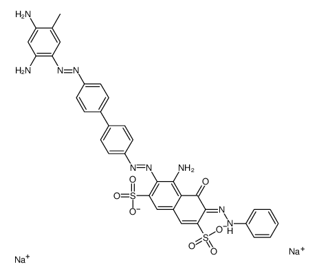
Name Disodium (3E)-5-amino-6-[(E)-{4'-[(E)-(2,4-diamino-5-methylphenyl )diazenyl]-4-biphenylyl}diazenyl]-4-oxo-3-(phenylhydrazono)-3,4-d ihydro-2,7-naphthalenedisulfonate
Molecular Formula C35H27N9Na2O7S2
Molecular Weight 795.75500
Exact Mass 795.12700
PSA 300.12000
LogP 10.67220
The content on this webpage is sourced from various professional data sources. If you have any questions or concerns regarding the content, please feel free to contact service1@chemsrc.com.