4675-63-2

4675-63-2 structure
4675-63-2 structure
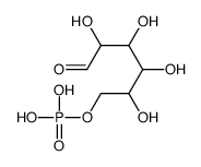
  • Name: (2,3,4,5-tetrahydroxy-6-oxohexyl) dihydrogen phosphate
  • Chemical Name: (2,3,4,5-tetrahydroxy-6-oxohexyl) dihydrogen phosphate
  • CAS Number: 4675-63-2
  • Molecular Formula: C6H13O9P
  • Molecular Weight: 260.13600
  • Create Date: 2017-03-16 02:09:06
  • Modify Date: 2025-08-27 19:38:41

Name (2,3,4,5-tetrahydroxy-6-oxohexyl) dihydrogen phosphate
Synonyms 6-o-phosphonohexose
D-Galactose,6-(dihydrogen phosphate)
D-Glucose 6-phosphate solution
Molecular Formula C6H13O9P
Molecular Weight 260.13600
Exact Mass 260.03000
PSA 174.56000
The content on this webpage is sourced from various professional data sources. If you have any questions or concerns regarding the content, please feel free to contact service1@chemsrc.com.