Tetrahedron

Butenolide annelation using a manganese (III) oxidation. A synthesis of 4-arylfuran-2 (5H)-ones

AS Demir, N Camkerten, Z Gercek, N Duygu, O Reis…

Index: Demir, Ayhan S.; Camkerten, Nurettin; Gercek, Zuhal; Duygu, Nese; Reis, Omer; Arikan, Elif Tetrahedron, 1999 , vol. 55, # 8 p. 2441 - 2448

Full Text: HTML

Citation Number: 25

Abstract

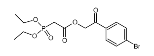
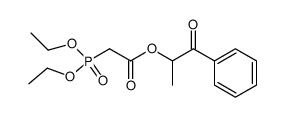
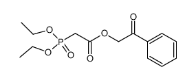
A general procedure was developed for the annelation of a butenolide to an aromatic ketone that highlighted a manganese (III) oxidation of aromatic ketones. The oxidation of aromatic ketones with manganese (III) acetate in the presence of 2-bromoacetic acid or the Mn (II) salt of this carboxylic acid provided a regioselectively convenient synthesis of 2-(2- bromoacetoxy) ketones. An Arbuzov or Wittig reaction of 2-(2-bromoacetoxy) ketones ...