前往化源商城

decaazanium,N'-[2-[bis(phosphonatomethyl)amino]ethyl]-N-[2-[2-[bis(phosphonatomethyl)amino]ethyl-(phosphonatomethyl)amino]ethyl]-N,N'-bis(phosphonatomethyl)ethane-1,2-diamine,hydron

更新时间:2024-09-29 12:15:05

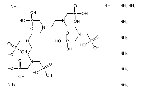
decaazanium,N'-[2-[bis(phosphonatomethyl)amino]ethyl]-N-[2-[2-[bis(phosphonatomethyl)amino]ethyl-(phosphonatomethyl)amino]ethyl]-N,N'-bis(phosphonatomethyl)ethane-1,2-diamine,hydron结构式
decaazanium,N'-[2-[bis(phosphonatomethyl)amino]ethyl]-N-[2-[2-[bis(phosphonatomethyl)amino]ethyl-(phosphonatomethyl)amino]ethyl]-N,N'-bis(phosphonatomethyl)ethane-1,2-diamine,hydron结构式
委托求购
常用名 decaazanium,N'-[2-[bis(phosphonatomethyl)amino]ethyl]-N-[2-[2-[bis(phosphonatomethyl)amino]ethyl-(phosphonatomethyl)amino]ethyl]-N,N'-bis(phosphonatomethyl)ethane-1,2-diamine,hydron 英文名 decaazanium,N'-[2-[bis(phosphonatomethyl)amino]ethyl]-N-[2-[2-[bis(phosphonatomethyl)amino]ethyl-(phosphonatomethyl)amino]ethyl]-N,N'-bis(phosphonatomethyl)ethane-1,2-diamine,hydron
CAS号 93892-77-4 分子量 1017.65000
密度 N/A 沸点 N/A
分子式 C15H74N15O21P7 熔点 N/A
MSDS N/A 闪点 N/A

 名称

英文名 decaazanium,N'-[2-[bis(phosphonatomethyl)amino]ethyl]-N-[2-[2-[bis(phosphonatomethyl)amino]ethyl-(phosphonatomethyl)amino]ethyl]-N,N'-bis(phosphonatomethyl)ethane-1,2-diamine,hydron
英文别名 更多

 物理化学性质

分子式 C15H74N15O21P7
分子量 1017.65000
精确质量 1017.33000
PSA 519.98000
InChIKey VMLVLQSBAHXKKM-UHFFFAOYSA-N
SMILES O=P([O-])([O-])CN(CCN(CCN(CP(=O)([O-])[O-])CP(=O)([O-])[O-])CP(=O)([O-])[O-])CCN(CCN(CP(=O)([O-])[O-])CP(=O)([O-])[O-])CP(=O)([O-])[O-].[H+].[H+].[H+].[H+].[NH4+].[NH4+].[NH4+].[NH4+].[NH4+].[NH4+].[NH4+].[NH4+].[NH4+].[NH4+]

 英文别名

Decaammonium tetrahydrogen ((phosphonatomethyl)imino)bis(ethane-2,1-diyl((phosphonatomethyl)imino)ethane-2,1-diylnitrilobis(methylene)))tetrakisphosphonate
EINECS 299-564-0
本网页内容来自不同专业数据源,如对内容有疑义,欢迎联系service1@chemsrc.com。