前往化源商城

rengyoside B

更新时间:2025-08-25 01:37:31

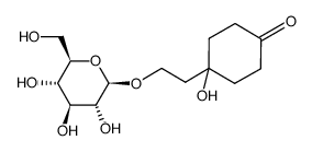
rengyoside B结构式
rengyoside B结构式
委托求购
常用名 rengyoside B 英文名 rengyoside B
CAS号 123563-44-0 分子量 320.33600
密度 N/A 沸点 N/A
分子式 C14H24O8 熔点 N/A
MSDS N/A 闪点 N/A

 rengyoside B名称

英文名 rengyoside B
英文别名 更多

 rengyoside B物理化学性质

分子式 C14H24O8
分子量 320.33600
精确质量 320.14700
PSA 136.68000

 rengyoside B英文别名

4-Hydroxy-4-[2-((2R,3R,4S,5S,6R)-3,4,5-trihydroxy-6-hydroxymethyl-tetrahydro-pyran-2-yloxy)-ethyl]-cyclohexanone
本网页内容来自不同专业数据源,如对内容有疑义,欢迎联系service1@chemsrc.com。