cas号查询
登录
注册
化源商城
首页
我的化源
个人信息
我的求购
我的供货
快速发布求购
联系我们
English
前往化源商城
文献检索
官能团搜索
结构式搜索
搜索
供应商:
我要出现这里
暂无推荐供应商。
我要出现这里
相关CAS号:
97380-25-1
28862-89-7
26056-64-4
81812-47-7
35051-64-0
123920-66-1
108354-13-8
123920-51-4
78662-75-6
58546-13-7
2227754-74-5
1627180-83-9
1627510-58-0
1627510-59-1
1187591-68-9
1505515-92-3
2819649-91-5
1211494-44-8
1508359-12-3
131833-99-3
97380-25-1
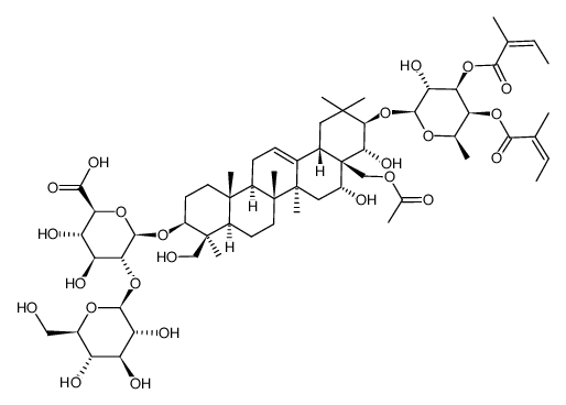
97380-25-1结构式
常用中文名:
bunkankasaponin D
常用英文名:
bunkankasaponin D
CAS号:
97380-25-1
分子式:
C
60
H
92
O
24
分子量:
1197.36000
发布时间:
2018-01-22 12:23:41
更新时间:
2025-08-28 12:45:51
化源商城直购
名称
物化性质
英文名
bunkankasaponin D
分子式
C
60
H
92
O
24
分子量
1197.36000
精确质量
1196.60000
PSA
373.88000
LogP
1.22360
本网页内容来自不同专业数据源,如对内容有疑义,欢迎联系service1@chemsrc.com。
【97380-25-1】化源网提供CAS号/CAS登录号97380-25-1,CAS No.:97380-25-1的msds、结构式、性质、英文名、生产厂家、作用/用途、分子式/化学式、密度、沸点、熔点等。CAS号查询97380-25-1上化源网,专业又轻松。
标题:97380-25-1_CAS号:97380-25-1_CAS No.:97380-25-1 - 化源网 地址:https://www.chemsrc.com/baike/1380169.html
×
详细合成路线
×
退出
×
登录
用户名:
密 码: